“Любим і мовчим” — це пісня про двох людей, які довго залишаються “просто друзями”, але насправді мають одне до одного значно глибші почуття. Йдеться про ситуації, коли ти засинаєш і прокидаєшся не з тією людиною, з якою хочеш бути, але продовжуєш про це мовчати, бо боїшся зруйнувати дружбу.
Розвідка отримала матеріали службового листування
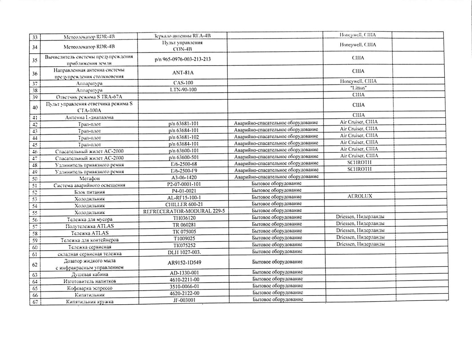
Російські підприємства не мають імпортних комплектуючих для виробництва, ремонту та обслуговування літаків серії «Ан», «Іл», «Ту».
Про це повідомляє Інформатор з посиланням на Головне управління розвідки Міноборони України.
Розвідка отримала доступ до службового листування від 20 червня між командуванням 8 авіаційної дивізії особливого призначення (Чкаловський, Московська область) з керівництвом підприємств оборонно-промислового комплексу, які здійснюють виробництво, ремонт та обслуговування літаків серії «Ан», «Іл», «Ту» різних типів та призначення. Командування занепокоєне відсутністю імпортних комплектуючих для ремонту, обслуговування цих літаків. В якості виходу з ситуації розглядається варіант імпортозаміщення:
Серед комплектуючих та систем, які перестали поставлятися до рф після введення санкцій, системи посадки по маякам, детектори диму, метеолокатори, радіолокаційні системи, навігаційні системи та навіть кавоварки з мікрохвильовками. Як повідомлялось раніше, голова комітету ради федерації росії з конституційного законодавства та держбудівництва повідомив, що програму імпортозаміщення провалено повністю, окрім бравурних звітів галузевих відомств немає нічого.




Нагадаємо, окупанти намагаються продати або обміняти на алкоголь крадені запчастини з бойової техніки. Крім того, Україна отримала доступ до документації щодо будівництва "Кримського моста".
Також Інформатор писав, що у Донецькій області окупанти-бізнесмени вирішили здати на металобрухт комплектуючі до ракетного комплексу «Тор».
Підписуйтесь на наш Telegram-канал, щоб не пропустити важливих новин. За новинами в режимі онлайн прямо в месенджері слідкуйте на нашому Telegram-каналі Інформатор Live. Підписатися на канал у Viber можна тут.